1. 压缩样品要求:推荐φ8mm*12mm圆柱试样。(建议高度为直径的1.5~2倍)
2. 拉伸样品要求:M6或M10的棒材(螺纹段长度15mm,总长110mm);厚度小于2mm的板材;
3. 建议采用机加工方式准备样品,需准备2-3个备用样品;
4. 测试温度范围:室温-1200℃。
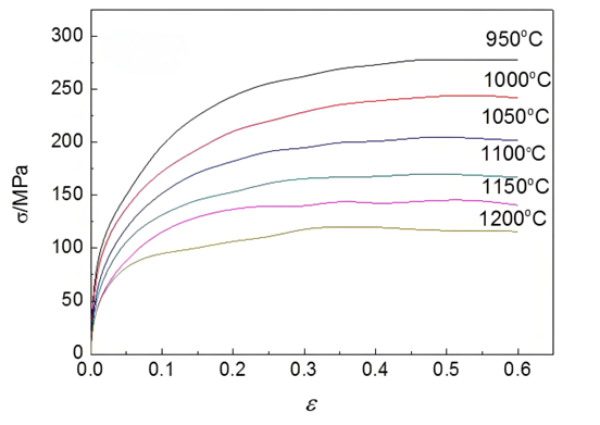
热模拟试验是动态热形模拟试验设备。它可以动态地模拟金属受热及变形过程。热模拟试验的模拟功能较为齐全,应用范围广泛:可以进行包括轧制锻压工艺、连铸冶炼工艺、焊接工艺、金属热处理工艺、机械热疲劳等方面内容在内的动态过程模拟试验,可以测定金属高温力学性能、金属热物性及CCT曲线、应力应变曲线等。
1. 压缩样品要求:推荐φ8mm*12mm圆柱试样。(建议高度为直径的1.5~2倍)
2. 拉伸样品要求:M6或M10的棒材(螺纹段长度15mm,总长110mm);厚度小于2mm的板材;
3. 建议采用机加工方式准备样品,需准备2-3个备用样品;

